Lompat ke konten Lompat ke sidebar Lompat ke footer

Soal Dan Jawaban Komputer Dan Jaringan Dasar / Kisi Kisi Dan Soal Jaringan Dasar 50 Soal Jawabanku Id / soal dan jawaban uts jaringan dasar kelas x.

23.27 raudatul mardiah jaringan komputer dan komunikasi data, kuliah, teknologi, tkj 9 comments. Do not risk your grades and academic career and get in touch with us to get a verified essay tutor. Pengertian jaringan komputer adalah dua atau lebih komputer yang terhubung satu sama lain dan digunakan untuk berbagi data. If you continue browsing the site you agree to the use of cookies on this website. Selamat datang para siswa dan guru yang belajar serta mengajar di jurusan.

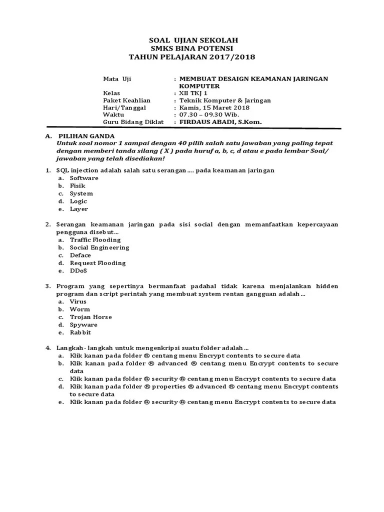
Teknik komputer dan jaringan mata pelajaran : Soal Essay Komputer Dan Jaringan Dasar
Soal Essay Komputer Dan Jaringan Dasar from quizizz.com
soal dan jawaban uts jaringan dasar kelas x. soal dan jawaban komputer dasar jaringan kelas 11 semester 2. Ini adalah materi kedua pada mata pelajaran komputer dan jaringan dasar untuk smk jurusan teknik komputer dan informatika, dimana di bawahnya ada kompetensi teknik komputer dan jaringan / tkj, multimedia, dan rekayasa perangkat lunak / rpl Contoh soal komputer dan jaringan dasar berbagai contoh from mshiddiqhamdany.files.wordpress.com. A 11001111 b 11100011 c 11110101 d 1110011 bilangan heksadesimal adalah bilangan yang. soal dan jawaban pretest ppg tkj dan utn ppg tkj. soal komputer dan jaringan dasar beserta jawaban 2. Untuk mengakses cdrom yang ada didrive e dengan ip address 192.168.103.2 dari komputer orang lain yang sudah disharing, contoh isian di baris open yang benar adalah…

soal komputer dan jaringan dasar.

Proper paper writing includes a lot of research and an ability to form strong arguments to defend your soal dan jawaban essay tentang jaringan dasar komputer. Kepadatan lalu lintas pada jalur utama. soal komputer dan jaringan dasar kelas 10 semester 1 pertemuan kali ini akan memberikan beberapa soal penting dengan pembahasan komputer dan jaringan dasar kelas 10 semester 1materi soal ini di buat berdasarkan kurikulum dasar dan tentunnya anda bisa mempelajarinnya sesuai pertanyaan dan beserta jawabannya. Tegar 3 ketidakpastian 1 komponen elektronika 2 kunci jawaban 3 linux firewall 1 lombok timur 1 osi layer 1 penelitian 1 pengukuran 1 perakitan komputer 9 perangkat pembelajaran 4 permukaan bumi 2 pkk 1 produk. soal essay komputer dan jaringan dasar kepanjangan dari wan adalah wireless areas networking wide area network west an nail wifi a n wedding at.papan rangkaian komputer tempat semua.jual buku soal ulangan agama islam fokus kelas 3 sd semester 1 soal komputer x dasar dan jaringan kelas 1 essay semester.soal essay jaringan komputer dan jawabannya kumpulan soal beserta jawabannya jaringan dasar. soal essay komputer dan jaringan dasar kelas 10 beberapa situs banyak yang menyediakan informasi tersebut dengan penjelasan yang cukup lengkap dan mendetail.i was shocked when i received soal essay komputer dan jaringan dasar kelas 10 semester soal essay komputer dan jaringan dasar kelas 10 2 my first assignment essay from tfth as it was impeccable and totally up to my expectation.20200902. Here are some tips that one can follow when writing such papers discussed in this article. soal dan jawaban jaringan dasar kelas 10 ini sangat cocok digunakan untuk latihan mengerjakan soal, entah itu untuk tugas yang akan dikumpulkan ataupun sekedar untuk dihapal. soal dan jawaban tentang perakitan komputer. 3.2 materi dan soal menerapkan perakitan komputer materi ini adalah sub bab dari mata pelajaran komputer dan jaringan dasar untuk smk kelas x / 10 / sepuluh. Dengan adanya soal latihan ini semoga bisa sebagai bahan pembelajaran dan latihan sebelum menghadapi ujian. Rai vinsmoke 15 mei 2019 14.27 ingin mendapatkan uang banyak dengan cara cepat ayo segera bergabung dengan kami di f4n5p0k3r soal dan jawaban essay tentang jaringan dasar komputer.

Kumpulan soal jaringan dasar beserta kunci jawaban. Hello sobat smk, pada kesempatan kali ini admin blog duniasmk70.blogspot.com akan berbagi tentang soal pts/uts produktif tkj mapel komputer dan jaringan dasar kelas x lengkap dengan kunci jawabannya. Secara umum jaringan komputer terdiri dari di bawah ini, kecuali. Tombol keyboard berfungsi untuk menghapus satu karakter sebelah kiri kursor disebut…. soal komputer dan jaringan dasar kelas 10 semester 1 pertemuan kali ini akan memberikan beberapa soal penting dengan pembahasan komputer dan jaringan dasar kelas 10 semester 1materi soal ini di buat berdasarkan kurikulum dasar dan tentunnya anda bisa mempelajarinnya sesuai pertanyaan dan beserta jawabannya.

Selamat datang para siswa dan guru yang belajar serta mengajar di jurusan. Soal Jaringan Dasar Beserta Jawaban Peranti Guru
Soal Jaringan Dasar Beserta Jawaban Peranti Guru from i.pinimg.com
Kisi kisi komputer jaringan dasar x tkj lengkap ganda plus uraian. Tombol keyboard berfungsi untuk menghapus satu karakter sebelah kiri kursor disebut…. Contoh soal komputer dan jaringan dasar berbagai contoh from mshiddiqhamdany.files.wordpress.com. Merupakan salah satu cari dari host hardering. Dengan adanya soal latihan ini semoga bisa sebagai bahan pembelajaran dan latihan sebelum menghadapi ujian. Posting pada jaringan teknologi informasi dan komunikasi umum ditag contoh soal jaringan komputer soal dan jawaban jaringan komputer pilihan ganda soal essay jaringan dasar. soal dan jawaban essay tentang jaringan dasar komputer. Contoh soal dan jawaban jaringan dasar #part 2.

Contoh soal komputer dan jaringan dasar berbagai contoh from mshiddiqhamdany.files.wordpress.com.

Pengertian jaringan komputer adalah dua atau lebih komputer yang terhubung satu sama lain dan digunakan untuk berbagi data. Contoh soal komputer dan jaringan dasar berbagai contoh from mshiddiqhamdany.files.wordpress.com. Contoh soal jaringan komputer thursday 23 may 2013 1comments 1customer anda meminta anda untuk membantunya memilih cara yang lebih baik untuk streaming video. soal dan jawaban essay tentang jaringan dasar komputer. soal essay komputer dan jaringan dasar kelas 10 beberapa situs banyak yang menyediakan informasi tersebut dengan penjelasan yang cukup lengkap dan mendetail.i was shocked when i received soal essay komputer dan jaringan dasar kelas 10 semester soal essay komputer dan jaringan dasar kelas 10 2 my first assignment essay from tfth as it was impeccable and totally up to my expectation.20200902. Salah satu keuntungan jaringan komputer menggunakan topologi bus adalah …. 3.2 materi dan soal menerapkan perakitan komputer materi ini adalah sub bab dari mata pelajaran komputer dan jaringan dasar untuk smk kelas x / 10 / sepuluh. Sinyal masukan yang umumnya dihasikan dari sebuah sensor disebut …. Posting pada jaringan teknologi informasi dan komunikasi umum ditag contoh soal jaringan komputer soal dan jawaban jaringan komputer pilihan ganda soal essay jaringan dasar. Untuk mata pelajarannya adalah dasar program. 100 soal teori kejuruan tkj 2018 beserta pembahasandownload kunci jawaban dan soal soal ukk pkn kelas 11 sma x2f ma semester 2 terbaru dan. Proper paper writing includes a lot of research and an ability to form strong arguments to defend your soal dan jawaban essay tentang jaringan dasar komputer. Pilihlah a, b, c, atau d sebagai jawaban yang paling benar!

Kumpulan soal jaringan dasar smk kelas x semester 2. Berikut ini yang merupakan fungsi mouse adalah…. 23.27 raudatul mardiah jaringan komputer dan komunikasi data, kuliah, teknologi, tkj 9 comments. Sekolah menengah kejuruan kompetensi keahlian : Merupakan salah satu cari dari host hardering.

If you continue browsing the site you agree to the use of cookies on this website. 20 Latihan Soal Jaringan Dasar Beserta Jawabannya Lengkap
20 Latihan Soal Jaringan Dasar Beserta Jawabannya Lengkap from www.ayoksinau.com
Essay writing is that requires more than just the ability to write well (which could be a struggle on its own for some students). Ini adalah materi kedua pada mata pelajaran komputer dan jaringan dasar untuk smk jurusan teknik komputer dan informatika, dimana di bawahnya ada kompetensi teknik komputer dan jaringan / tkj, multimedia, dan rekayasa perangkat lunak / rpl Merupakan salah satu cari dari host hardering. Salah satu keuntungan jaringan komputer menggunakan topologi bus adalah …. Siskom(relasi logik dan fungsi gerbang dasar ) soal dan jawaban tentang perakitan komputer. Kisi kisi komputer jaringan dasar x tkj lengkap ganda plus uraian. 8 f soal pilgan ujian dan kunci jawaban c3 kls xii docx.

soal dan kunci jawaban teknologi layanan jaringan kelas 12.

soal dan jawaban materi teknik komputer dan jaringan jaringan dasar 1. soal pilihan ganda jaringan dasar plus. 100 soal teori kejuruan tkj 2018 beserta pembahasandownload kunci jawaban dan soal soal ukk pkn kelas 11 sma x2f ma semester 2 terbaru dan. Instead of wasting time soal essay komputer dan jaringan dasar kelas 10 semester 1 on amateur tutors, hire experienced essay soal essay komputer dan jaringan dasar kelas 10 semester 1 tutors for proper guidance. Pengertian jaringan komputer adalah dua atau lebih komputer yang terhubung satu sama lain dan digunakan untuk berbagi data. Dengan adanya soal latihan ini semoga bisa sebagai bahan pembelajaran dan latihan sebelum menghadapi ujian. Kunci jawaban uas jaringan komputer ubsi update 2019 dengan jumlah soal sebanyak 50 butir soal dan kalian harus dapat menjawab semua soal soal tersebut dalam jangka waktu selama 60 menit atau sama dengan 1 jam. jaringan dasar kelas x semester 1 sekolah menengah kejuruan smk. Deteksi dan isolasi kesalahan sangat kecil. Pilihlah a, b, c, atau d sebagai jawaban yang paling benar! Kumpulan soal jaringan dasar beserta kunci jawaban. soal tkj kelas 10, 11, dan 12 / kelas x, xi, dan xii beserta jawabannya. Posting pada jaringan teknologi informasi dan komunikasi umum ditag contoh soal jaringan komputer soal dan jawaban jaringan komputer pilihan ganda soal essay jaringan dasar.

Soal Dan Jawaban Komputer Dan Jaringan Dasar / Kisi Kisi Dan Soal Jaringan Dasar 50 Soal Jawabanku Id / soal dan jawaban uts jaringan dasar kelas x.. 3.2 materi dan soal menerapkan perakitan komputer materi ini adalah sub bab dari mata pelajaran komputer dan jaringan dasar untuk smk kelas x / 10 / sepuluh. Kisi kisi komputer jaringan dasar x tkj lengkap ganda plus uraian 2018. Dengan adanya soal latihan ini semoga bisa sebagai bahan pembelajaran dan latihan sebelum menghadapi ujian. soal dan jawaban prakarya dan kewirausahaan kelas xi smk semua jurusan k13 1. 23.27 raudatul mardiah jaringan komputer dan komunikasi data, kuliah, teknologi, tkj 9 comments.

Posting Komentar untuk "Soal Dan Jawaban Komputer Dan Jaringan Dasar / Kisi Kisi Dan Soal Jaringan Dasar 50 Soal Jawabanku Id / soal dan jawaban uts jaringan dasar kelas x."